List of Articles
Journal of Animal Science and Technology. Vol. 67, No. 6, 2025
Previous issue Next issueREVIEW
Application of dietary organic acids in laying hens production: a comprehensive review
Cited by
Crossref 2
J Anim Sci Technol 2025;67(6):1185-1206.
https://doi.org/10.5187/jast.2500224
HTML
PDF
PubReader
https://doi.org/10.5187/jast.2500224
RESEARCH ARTICLE
Exploring the potential of salivary small RNAs as non-invasive biomarkers in pigs
J Anim Sci Technol 2025;67(6):1207-1214.
https://doi.org/10.5187/jast.2025.e17
HTML
PDF
PubReader
https://doi.org/10.5187/jast.2025.e17
Knockdown of Y-box-binding protein 2 induces mitochondrial dysfunction to interrupt zygotic genome activation in porcine embryos
J Anim Sci Technol 2025;67(6):1215-1227.
https://doi.org/10.5187/jast.2024.e87
HTML
PDF
PubReader
https://doi.org/10.5187/jast.2024.e87
Control of alkaline phosphatase activity and pH stability by taurine in liquid boar semen
J Anim Sci Technol 2025;67(6):1228-1241.
https://doi.org/10.5187/jast.2024.e90
HTML
PDF
PubReader
https://doi.org/10.5187/jast.2024.e90
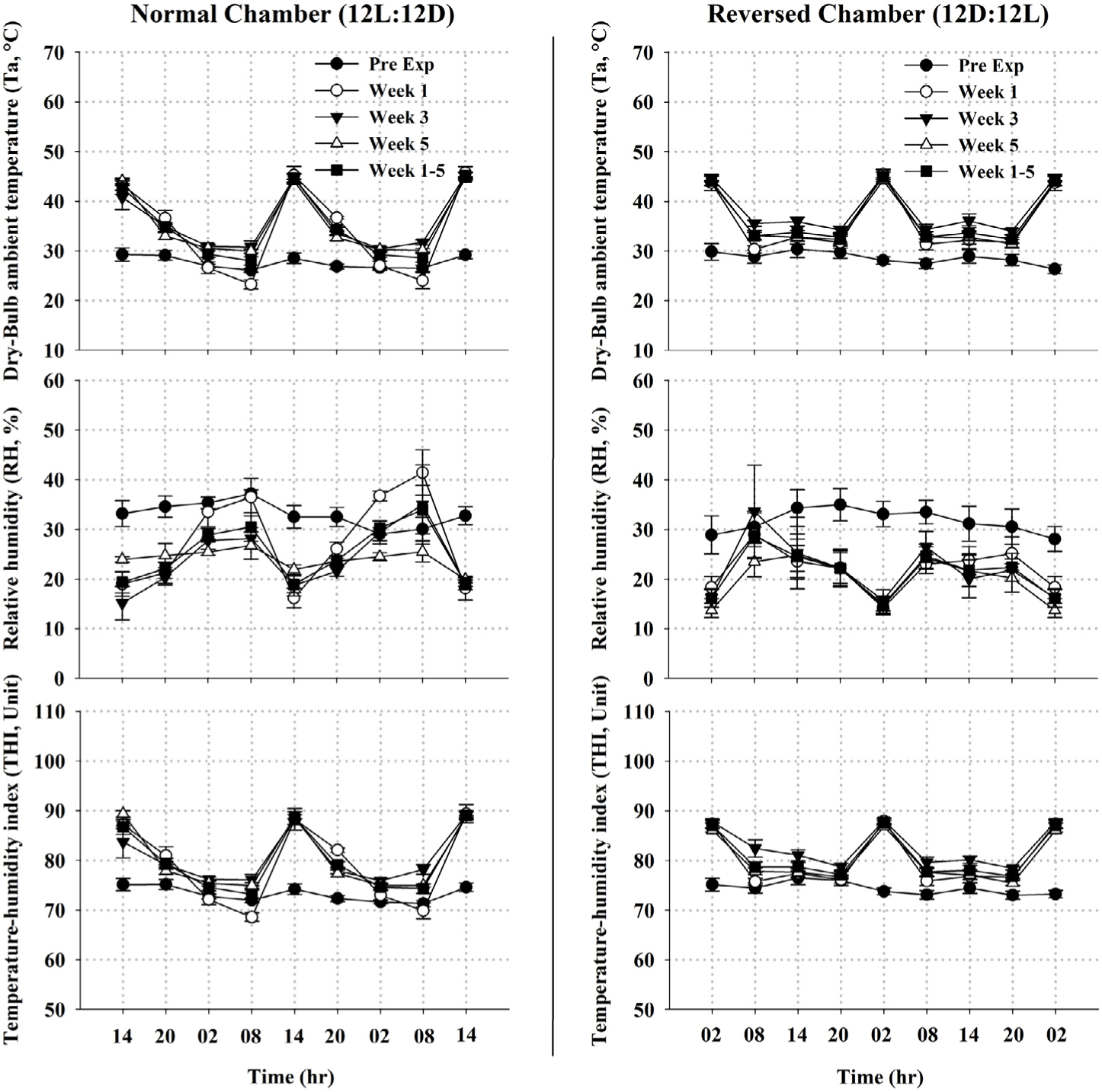
Chrono-physiological management protocol in form of simultaneous shifting of lighting-cycle and feeding-time can enhance production performance of heat-stressed goat kids
J Anim Sci Technol 2025;67(6):1242-1254.
https://doi.org/10.5187/jast.2023.e99
HTML
PDF
PubReader
https://doi.org/10.5187/jast.2023.e99
Effect of microencapsulated organic acids-essential oils blend and protease on performance and gut health of broilers under nutritional challenges
Cited by
Crossref 1
J Anim Sci Technol 2025;67(6):1255-1272.
https://doi.org/10.5187/jast.2024.e115
HTML
PDF
PubReader
https://doi.org/10.5187/jast.2024.e115
Impact of substrate type and growth stage on nutrient composition and convergence efficiency of Hermetia illucens larvae
J Anim Sci Technol 2025;67(6):1273-1284.
https://doi.org/10.5187/jast.2024.e96
HTML
PDF
PubReader
https://doi.org/10.5187/jast.2024.e96
Supplementation effects of feed additive containing eggshell, Schisandra chinensis by-products combined with multi-probiotics strains in laying hens
Cited by
Scopus 1
J Anim Sci Technol 2025;67(6):1285-1301.
https://doi.org/10.5187/jast.2024.e119
HTML
PDF
PubReader
https://doi.org/10.5187/jast.2024.e119
Effect of dietary natural phytoncide on blood characteristics to lipopolysaccharide challenge of Hanwoo cattle
Cited by
Crossref 1
,
Scopus 1
J Anim Sci Technol 2025;67(6):1302-1312.
https://doi.org/10.5187/jast.2500108
HTML
PDF
PubReader
https://doi.org/10.5187/jast.2500108
Dietary protein level in response to nitrogen balance along with production performance of laying hens
J Anim Sci Technol 2025;67(6):1313-1327.
https://doi.org/10.5187/jast.2500223
HTML
PDF
PubReader
https://doi.org/10.5187/jast.2500223
Comparative gut microbiota, growth performances, and cytokine indices in broiler chickens with or without litter
Cited by
Crossref 1
,
Scopus 1
J Anim Sci Technol 2025;67(6):1328-1342.
https://doi.org/10.5187/jast.2024.e82
HTML
PDF
PubReader
https://doi.org/10.5187/jast.2024.e82
Taurine effects on cell proliferation and gene expression of apoptosis and oxidative stress in broiler satellite cells under heat stress
Cited by
Crossref 1
,
Scopus 2
J Anim Sci Technol 2025;67(6):1343-1358.
https://doi.org/10.5187/jast.2024.e99
HTML
PDF
PubReader
https://doi.org/10.5187/jast.2024.e99
Comprehensive comparison of egg yolk of three Korean native chicken varieties: physicochemical quality, antioxidant activity, and flavor-related substances
J Anim Sci Technol 2025;67(6):1359-1378.
https://doi.org/10.5187/jast.2025.e19
HTML
PDF
PubReader
https://doi.org/10.5187/jast.2025.e19
Development of functional fermented feed additives enhanced with xylo-oligosaccharides and yeast proteins from corn cobs
Cited by
Crossref 1
,
Scopus 1
J Anim Sci Technol 2025;67(6):1379-1394.
https://doi.org/10.5187/jast.2025.e31
HTML
PDF
PubReader
https://doi.org/10.5187/jast.2025.e31
Seasonal variability of particulate matter and ammonia emissions in a laying hen house in Korea
J Anim Sci Technol 2025;67(6):1395-1405.
https://doi.org/10.5187/jast.2024.e95
HTML
PDF
PubReader
https://doi.org/10.5187/jast.2024.e95
Applying and adapting the welfare quality® protocol for assessing animal welfare in Korean cattle and pig slaughterhouses
J Anim Sci Technol 2025;67(6):1406-1426.
https://doi.org/10.5187/jast.2024.e101
HTML
PDF
PubReader
https://doi.org/10.5187/jast.2024.e101
Complete genome sequence of potential probiotic Ligilactobacillus ruminis CACC881 isolated from swine
Cited by
Crossref 2
J Anim Sci Technol 2025;67(6):1427-1432.
https://doi.org/10.5187/jast.2024.e50
HTML
PDF
PubReader
https://doi.org/10.5187/jast.2024.e50

, Sehyeok Oh
, Song-Hee Lee
, Emad M. Samara
, Preeda Lertwatcharasarakul
, Glenmer Bathan Tactacan
, Sunsik Jang















